91短视频

  • 订阅号
  • 服务号
您现在的位置: 91短视频 > 新闻纵览 > 医院公告
医院公告
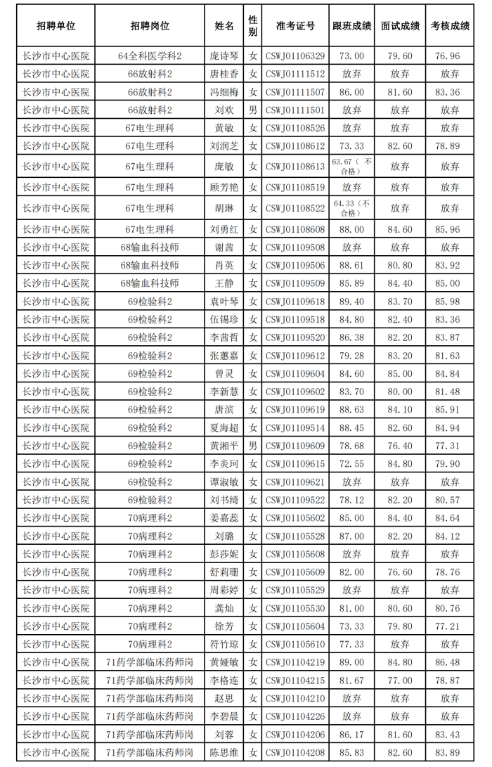
2023年长沙市卫生健康委员会直属事业单位公开招聘考核成绩公示
发布日期:2023-07-04